Kad matytumėte pilną svetainę, prašome įjungti JavaScript palaikymą.
Enable JavaScript in your browser to see this website.
Включите JavaScript в своем браузере, чтобы увидеть этот сайт.
0
Jūsų krepšelis tuščias.
Iki nemokamo pristatymo Jums liko:€ 50
Krepšelis atnaujintas
Nėra galimybes įsigyti nurodyto produkto kiekio.

Pasiteirauti dėl didesnio kiekio

Paieška

0

Daugiau judesių sumažina mirties riziką.

 
Publikuota: 2025-09-24
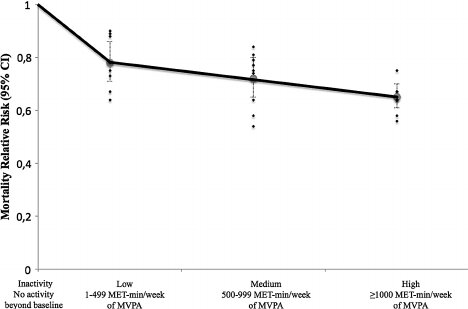
 Grupė mokslininkų (Hupin et all. 2015) atliko tyrimą apie fizinės veiklos poveikio žmonėms vyresniems nei 60 metų ir mirties rizikos dėl visų priežasčių. Kohortinėi studijoj dalyvavo 122 417 žmonių, vidutinis stebėjimo laikotarpis sudarė 9,8±2,7 metų, o užfiksuotų mirties atvejų buvo 18 122 (14,8%).
Visiems gerai žinoma rekomendacija – 150 minučių per savaitę vidutinio ir didelio intensyvumo fizinės veiklos (MVPA) vyresnio amžiaus žmonėms. Tyrimas rodo, kad siūloma dozė vyresnio amžiaus žmonėms dažnai nepasiekiama.
 
 Remiantis gautais duomenimis, buvo apskaičiuoti rizikos koeficientai keturioms fizinės veiklos dozėms per savaitę (svarbu – fizinė veikla buvo skaičiuojama tik tuo atveju, jei ji viršijo 15 minučių nenutrūkstamos veiklos). Pagrindas buvo savaitinis metabolinis ekvivalentas (MET) minutėmis ir buvo nustatyta kaip neaktyvi (referencinė), žema (1-499), vidutinė (500-999) arba didelė (≥1000) veikla.
 
 Maža MVPA dozė lėmė 22% mirties rizikos sumažėjimą. MVPA, viršijanti šį slenkstį, suteikė papildomų privalumų, pasiekdama 28% mirties nuo visų priežasčių sumažėjimą vyresnio amžiaus žmonėms, kurie laikėsi dabartinių rekomendacijų, ir 35% sumažėjimą virš 1000 MET-min per savaitę.
 
 
 Pav. 1 Vidutinio arba didelio intensyvumo fizinio aktyvumo (MVPA) dozės ir mirtingumo sumažėjimo ryšys. Išsibarstymo diagramos atitinka skirtingą santykinę tyrimų riziką kiekvienai MVPA dozei. Vidutinė santykinė rizika buvo apskaičiuota remiantis tyrimais, skirtais fizinio aktyvumo dozėms. Stulpeliai iliustruoja 95 % pasikliautuosius intervalus (PI). Paveiksle mirtingumo sumažėjimas įvertintas procentais (±95 % PI). MET – užduoties metabolinis ekvivalentas.(Hupin et all. 2015)
 
 
 MVPA dozė, mažesnė už rekomenduojamą, sumažino mirtį vyresnio amžiaus žmonėms  iki 22%. Tolimesnis fizinės veiklos dozės didinimas linijiškai sustiprino šiuos privalumus.
 
 Šaltinis:
Hupin, David & Roche, Frédéric & Gremeaux, Vincent & Chatard, Jean-Claude & Oriol, Mathieu & Gaspoz, Jean-Michel & Barthelemy, Jean-Claude & Edouard, Pascal. (2015). Even a low-dose of moderate-to-vigorous physical activity reduces mortality by 22% in adults aged ≥60 years: A systematic review and meta-analysis. British journal of sports medicine. 49. 10.1136/bjsports-2014-094306.
 
smart foreash
Šioje svetainėje yra naudojami slapukai (angl. „cookies“). Jie gali identifikuoti prisijungusius vartotojus, rinkti statistikos duomenis ir padėti pagerinti naršymo patirtį kiekvienam lankytojui atskirai.
Susipažinkite su mūsų Privatumo politika
Sutinku Išvalyti slapukus ir išeiti